It is an official entry to the 2015 Metro Manila Film Festival and was released on December 25 2015. Naramdaman ko na lamang na may ibang tao kaya kahit kinakabahan ako.
100 Popular Texting Abbreviations And Internet Acronyms In English Eslbuzz Learning English Sms Language English Words Slang Words
Another word for Opposite of Meaning of Rhymes with Sentences with Find word forms Translate from English Translate to English Words With Friends.

Kakaibang nilalang in english. Edgar Calabia Samar is a multi-awarded poet and novelist from the Philippines. Nilalang or Sonzai-sha Entity 存在者 is a 2015 Filipino action horror film directed by Pedring Lopez starring Cesar Montano and Maria Ozawa. May be synonymous with.
Entity quaint forsook absence stardust peculiar a creature. Kakaibang_nilalang 0 people have watched this. Kahit na ang mga bus ay itinuturing na pinaka-maginhawang mga mode ng transportasyon.
Ayon sa mga ulat higit sa 16 milyong mga bus ang nakarehistro sa bansa at ang sektor ng pampublikong bus ay nagpapatakbo ng 170000 na mga bus na may dalang 70 milyong katao bawat araw. An egg-laying semi-aquatic mammal with a bill resembling that of a duck that has a mole-like body a tail resembling that of a beaver a waterproof pelt and flat webbed feet males have poisonous spurs on the inside of the back legs. Para ito sa mga taong walang magawagawa ito ng mga IT student.
9222019 Kakaibang nilalang Napanaginipan kong nasa isang lumang bahay raw ako at nag-iisa. Mga nilalng ng Diyos. 10202017 The latest tweets from elyenisme.
Human translations with examples. 10 KAKAIBANG NILALANG NA NAKUHAAN NG CAMERA -MANINIWALA KABA DITO. Nililibang Tagalog Translation.
Ang mga pampublikong bus ay isa sa pinakahalagang paraan ng pag-commute sa India. Kaya sa video na ito ang pag-uusapan natin ay ang 10. Watch short videos about kakaibang_nilalang on TikTok.
Ang isa pang kakaibang nilalang ay ang platypus. Nilalang is about a local forensic expert who teams up with an heiress to a transnational organized crime syndicate originating from Japan. Something born or created.
Read KAKAIBANG NILALANG SA TV from the story VIXXX Horror Stories by markrencas aeri berry with 4110 reads. Ang mundo ay puno pa din ng misteryo dahil may mga kakaibang nilalang na hindi maipaliwanag ng siyensya. If playback doesnt begin shortly try restarting your device.
Contextual translation of kakaibang nilalang. View the profiles of people named Kakaibang Nilallang. His first novel Walong Diwata ng Pagkahulog received the NCCA Writers Prize in 2005 and its English translation as Eight Muses of the Fall was longlisted in the Man Asian Literary Prize in 2009.
Video ng sinasabing umaatakeng kakaibang nilalang sa Iloilo viral. Join Facebook to connect with Kakaibang Nilallang and others you may know. Contextual translation of nakakailang.
Human translations with examples. Videos you watch may be added to the TVs. Painagkaguluhan ang video ng di umanoy pag-atake ng siasabing kakaibang nilalang sa Barangay Lapuz sa Iloilo na pinagkaguluhan.
Super Kilig Love Quotes For Her Tagalog Love Quotes Tagalog Quotes Love Quotes For Her
The Monkey And The Turtle Big Book Big Book Children S Picture Books Classic Tales
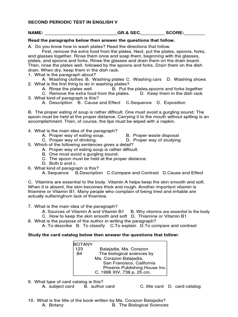
Second Periodic Test In English V Pollination Flowers
A California Lifestyle Blog Focusing On Style Food Music And Travel From The Sunny San Diego Perspectiv Writing Words Book Writing Tips Essay Writing Skills
Luis And The Enchanted Creatures Storybook For Grade 3 English Text Lazada Ph
Polliwog S Wiggle English Filipino Children S Book Shopee Philippines
Filipino Gr 7 Learners Matls Q1 2 Pdf Docsity
We Should Love Not Fall In Love Life Quotes Hugot Lines English Hugot Quotes
Mga Nilalang Na Kagila Gilalas A Book On Creatures Adarna House
Funny Facts About Life Tagalog Tagalog Love Quotes Tagalog Quotes Tagalog Quotes Funny
Maikling Kwentong Pambata Example Of Short Stories For Kids Tagalog Short Stories For Kids Short Story Examples Short Moral Stories
Tagalog Love Quotes English Life Quotes Tagalog Love Quotes English Tagalog Liebe Zitiert Englisc Tagalog Love Quotes Tagalog Quotes Tagalog Quotes Funny
Pin By Cee Jay De Jesus On Draws Hugot Lines Tagalog Tagalog Quotes Hugot Funny Tagalog Quotes
Old Filipino Dictionary 9z06k3dx75qx




